la soluzione degli esercizi 1-6 presentata dal Dr. Cieri a lezione lunedí 13 ottobre (1, 2, 4, 5) o successivamente

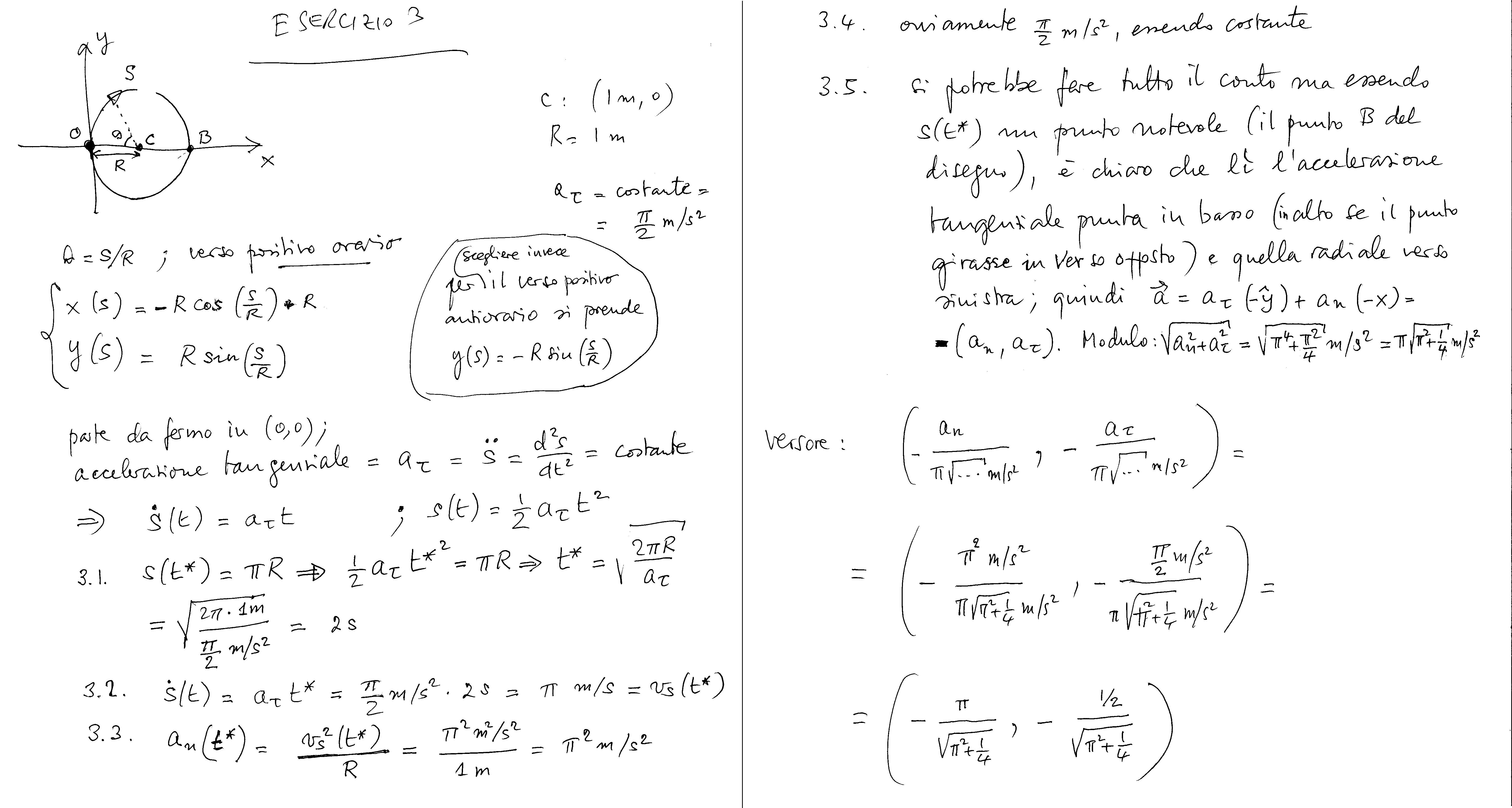
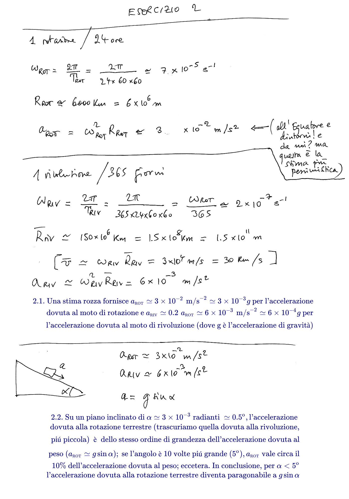
• soluzioni di quattro dei cinque esercizi semplici della scorsa settimana: tre molle, riferimento terra, moto circolare, tavolo, due masse e un filo.
• per chi vuole approfondire un caso che purtroppo non potremo svolgere a lezione: una dispensina su oscillatore smorzato e forzato

• schema delle lezioni fatte (per ora quella di mercoledí):

1) ultime sulla molla; momento angolare e forze centrali (qui una pagina riassuntiva sulle molle distribuita a lezione mercoledí)
(a) dinamica di un oscillatore in 3D
(b) definizione del vettore "quantità di moto"
(c) definizione del vettore "momento della quantità di moto" o "momento angolare" rispetto a un polo
(d) definizione del vettore "momento di una forza" rispetto a un polo e relazione fra questo vettore e la variazione nel tempo del momento angolare
(e) per la molla ideale 3D fissata nell'origine il momento della forza rispetto all'origine è nullo, quindi si conserva il momento angolare rispetto all'origine
(e) se il momento angolare è conservato (costante nel tempo) la traiettoria è piana e la velocità areolare è costante (2a legge di Keplero)
(f) (bella) domanda di una studentessa: se alla forza di una molla con estremità fissa nell'origine delle coordinate di un riferimento inerziale aggiungo la gravità e magari anche la resistenza del mezzo, le traiettorie continuano ad essere piane? risposta: affinché le traiettorie siano piane non è necessario che sia costante nel tempo il momento angolare (rispetto a un opportuno polo), basta che sia costante la sua direzione; perché questo accada basta che il momento della forza sia sempre parallelo al momento angolare, ovvero che sia nullo il prodotto vettoriale del momento della forza e del momento angolare; verifica che ciò avviene per la molla, per la molla con gravità, in tutti i problemi balistici (con e senza la resistenza dell'aria); ma allora tutte le traiettorie sono piane? no, ad esempio un pendolo sferico, se viene messo in moto con condizioni iniziali tali da muoversi inizialmente lungo una circonferenza orizzontale a una certa quota, in presenza della resistenza dell'aria comincerà a perdere poco a poco velocità percorrendo lungo la calotta sferica inferiore circonferenze di raggio lentamente decrescente, di quota anch'essa lentamente decrescente, cioè una spirale che non è contenuta in un piano e si conclude nella posizione di equilibrio, in fondo alla calotta sferica.

2) forze viste finora
(a) forze costanti nel tempo e nello spazio (gravità)
(b) forze dipendenti soltanto dalla posizione del punto materiale su cui agiscono (molla)
(c) forze dipendenti soltanto dalla velocità del punto materiale su cui agiscono (resistenza del mezzo)
(d) varie combinazioni (somma vettoriale) di forze elastiche, gravitazionali e di resistenza del mezzo (la forza risultante dipende sia dalla posizione che dalla velocità)
(e) la piú generale forza, oltre che da posizione e velocità del punto materiale, potrebbe anche dipendere esplicitamente dal tempo (esempio: un motore che con un argano e una carrucola tira su una massa lungo un piano inclinato, oppure un papà che spinge periodicamente la figlia sull'altalena) ; di questo tipo di forze non abbiamo finora visto esempi, uno si trova nella dispensina facoltativa sull'oscillatore smorzato e forzato

3) lavoro
background storico: fra 1660 e 1700, controversia fra Leibniz e i cartesiani su che cosa tende a conservarsi nel movimento: i cartesiani puntano sulla quantià di moto p=mv, Leibniz su ciò che egli chiama "vis viva" e oggi chiamiamo energia cinetica: K=(1/2)mv2= p2/2m
(a) definizione: lavoro elementare = prodotto scalare di forza per spostamento elementare; unità di misura = kg m2s‐2
(b) se la forza di cui parliamo dipende solo dalla posizione del punto materiale, il lavoro elementare si può valutare senza riferirmento ad una particolare traiettoria
(c) se invece la forza dipende (anche) dalla velocità del punto materiale e/o esplicitamente dal tempo, per valutare l'elemento di lavoro è necessario riferirsi ad una particolare traiettoria
(d) anche quando la forza dipende solo dalla posizione del punto materiale su cui essa agisce, non è detto che il lavoro elementare ad essa associato sia un "differenziale esatto"; ovvero, l'integrale del lavoro elementare di quella forza lungo due diversi cammini che connettono una stessa posizione iniziale con una stessa posizione finale, può, in generale, dare risultati diversi
(e) esempio: il lavoro della forza f=(axy, b, 0) da una posizione iniziale O=(0,0,0) a una posizione finale B=(3,6,0), calcolato lungo l'ipotenusa OB o invece lungo un cammino che unisce i due cateti OA e AB, dove A=(3,0,0), dà luogo in un caso a L=18a+18b, nell'altro L=18b
(f) proprio nell'esempio precedente però, se a=0, la forza diventa simile alla gravità e il lavoro lungo i due diversi cammini diventa identico
(g) anche per altre forze (come quella di una molla 3D) troviamo un lavoro che NON dipende dal cammino scelto fra A e B
(h) come si fa a capire se il lavoro di una forza dipende solo dal punto iniziale e finale o anche dal percorso che c'è in mezzo?
(i) se la forza è gradiente di una funzione scalare della posizione, il lavoro elementare è un differenziale esatto e, come diretta conseguenza, lungo due diversi cammini che nello spazio connettono una stessa posizione iniziale A ad una stessa posizione finale B, l'integrale del lavoro elementare di quella forza non dipende dal particolare cammino che li connette in quanto eguaglia, indipendentemente dal particolare cammino, la differenza fra il valore di quella funzione scalare nel punto B e nel punto A
(l) energia potenziale: definizione ed esempi (forza di gravità, forza elastica)

4) teorema delle "forze vive"
(a) se lo spostamento infinitesimo è preso lungo una traiettoria, il lavoro elementare compiuto dalla risultante di tutte le forze agenti sul punto materiale eguaglia la variazione infinitesima di energia cinetica
(b) teorema delle "forze vive" per un pezzo di traiettoria sAB non infinitesimo: LAB = KB ‐ KA
(c) una conseguenza non intuitiva del teorema delle forze vive (passeggiate in montagna): se si parte da fermi in A e si arriva da fermi in B la risultante delle forze non ha compiuto alcun lavoro
(d) l'energia meccanica E=K+V ovvero perché le forze derivabili da un potenziale sono dette conservative
(e) utilità dell'energia meccanica per capire qualcosa delle traiettorie senza bisogno di calcolarle (esempio: pendolo, montagne russe)
(f) un video di 3 minuti sulla conservazione dell'energia
(g) esempi di forze conservative (peso, molla) e non conservative (attrito, resistenza dell'aria, motore dell'automobile)


PER IL WEEKEND, TESTI DELL'ESERCITAZIONE DI LUNEDI' 20 OTTOBRE