Struttura della Materia
lezioni 29 e 30
rotazioni e vibrazioni di una molecola biatomica (testo EFAMS pagine 65-70)
- ultimi commenti sull'approssimazione Born-Oppenheimer ( qui
la derivazione riveduta e corretta e qui
alcuni passaggi dettagliati)
- l'approssimazione Born-Oppenheimer è detta anche approssimazione adiabatica, perché?
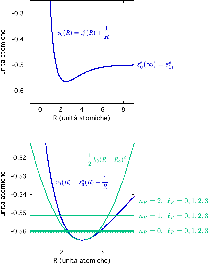
- il potenziale efficace εe(R)+1/R cui è soggetta la coordinata internucleare dipende solo dal suo modulo: scomposizione dell'equazione di Schrödinger nucleare in parte angolare e parte radiale
- il potenziale efficace εe(R)+1/R cui è soggetta la coordinata internucleare ha un minimo in Ro (altrimenti la molecola non si forma): approssimazione armonica intorno a Ro
- la frequenza di vibrazione è molto piú grande di quella di rotazione: approssimazione di rotatore rigido con R=Ro
- separazione dei diversi gradi di libertà, risultati analitici, spettro degli autovalori rotazionali e rotovibrazionali
- esempio realistico: stato fondamentale H2+
- regole di selezione, transizioni roto-vibrazionali
- correzioni, distorsione centrifuga
- correzioni, anarmonicità: espansione termica