Struttura della Materia
lezioni 33 e 34
ultimi commenti su rotazioni e vibrazioni di una molecola biatomica
gli stati elettronici di H2+ (testo EFAMS pagine 70-81)
- H2+ : un solo elettrone; risolubile analiticamente (il che fornisce un benchmark)
- sviluppo in una base di funzioni ortonormale e completa
- una base naturale ... overcompleta e non ortonormale! però molto sensata
- provo il troncamento piú brutale: 2 funzioni in tutto (1s sul primo atomo e 1s sul secondo), ne verranno fuori altre 2
- in H2+ i coefficienti dello sviluppo sono automaticamente determinati dalla simmetria (g,u)
- stato legante e antilegante: formule
- stato legante e antilegante: funzioni d'onda
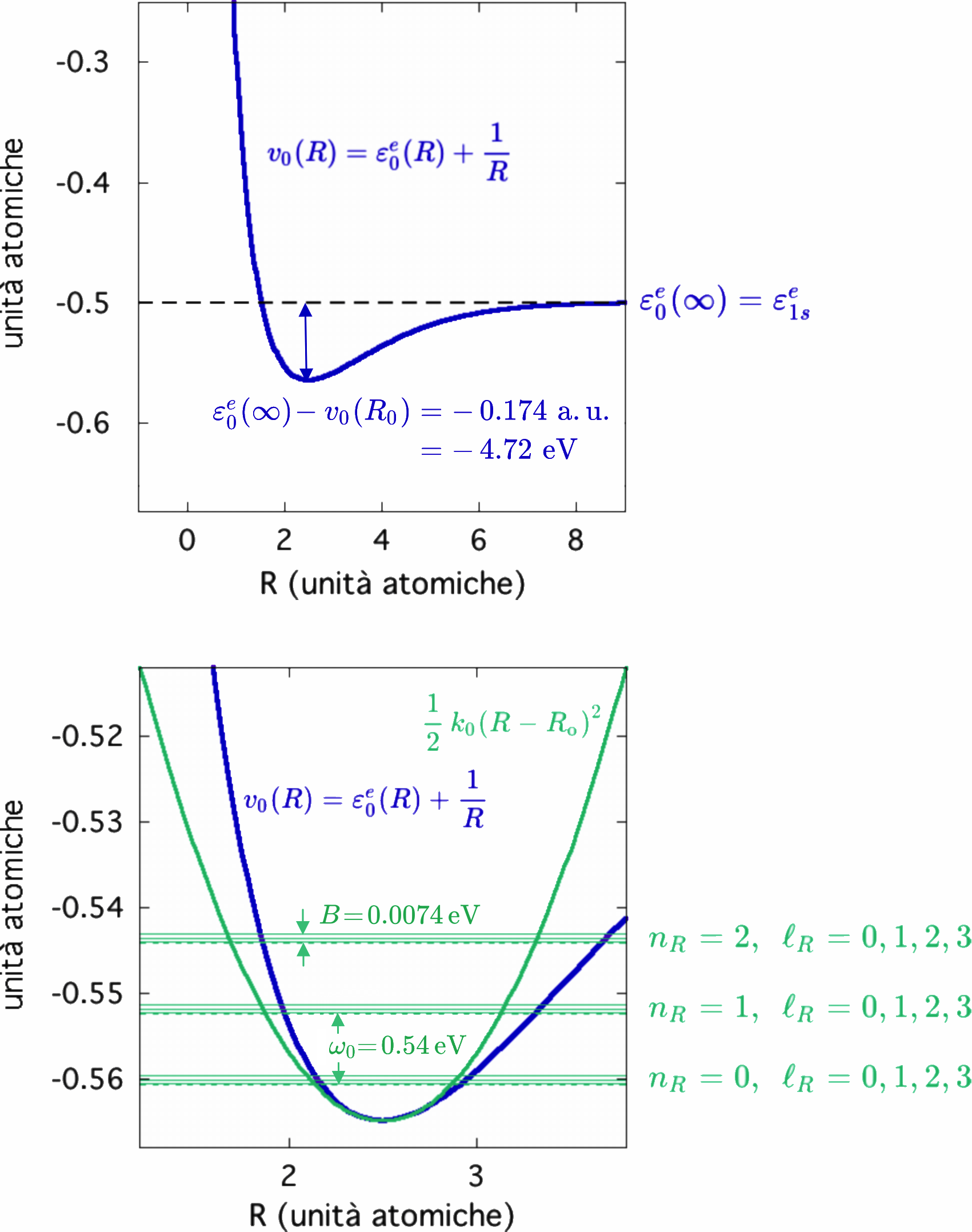
- stato legante e antilegante: energie elettroniche sommate a 1/R
- già nel primo stato eccitato elettronico l'energia potenziale nucleare di Born-Oppenheimer non ha un minimo: in seguito a una transizione elettronica dallo stato fondamentale al primo stato eccitato (per esempio dopo l'assorbimento di un fotone di opportuna lunghezza d'onda) la molecola si dovrebbe dissociare in un atomo di idrogeno neutro e un protone, e questa previsione del modello corrisponde abbastanza bene (per distanze internucleari inferiori alle 9-10 unità atomiche) alla realtà sperimentale (vedere ad esempio qui
)