Struttura della Materia
lezioni 35 e 36
stati elettronici di H2+ vs. molecola biatomica eteronucleare (EFAMS pagine 81-86)
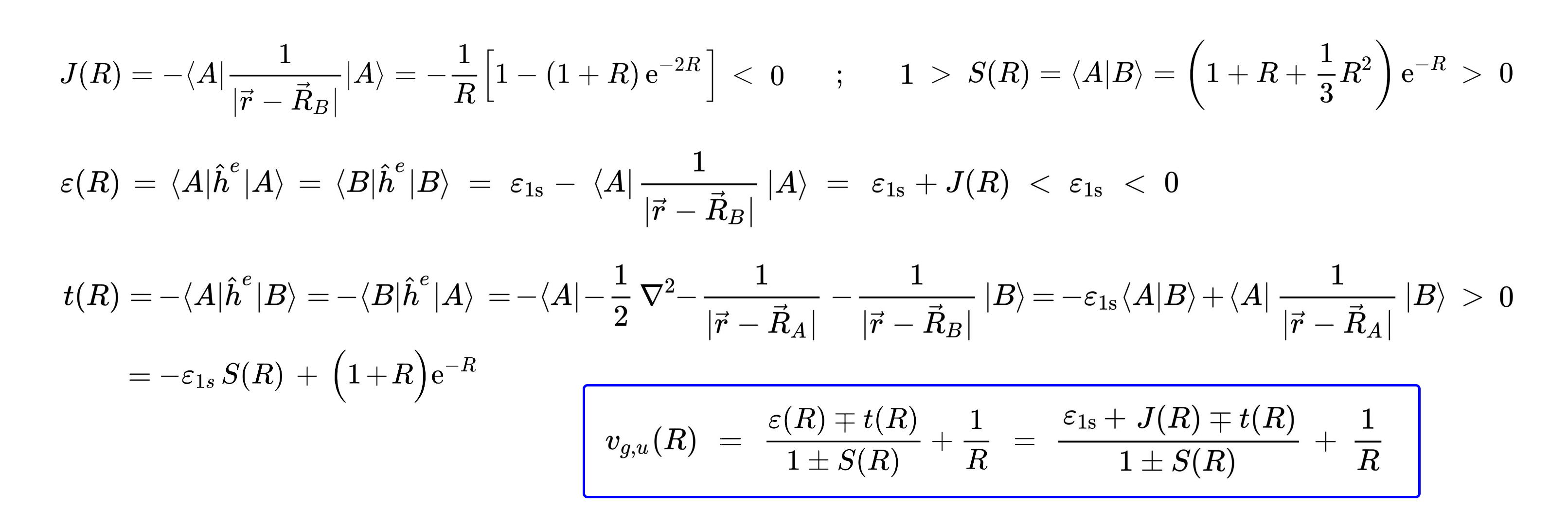
- H2+: consolidamento di quanto appreso nelle lezioni immediatamente precedenti attraverso ulteriori riflessioni (accompagnate da qualche formula) sull'elemento diagonale e off-diagonale della matrice hamiltoniana [ ε(R), ‐t(R) ] e della matrice di sovrapposizione (overlap) [ 1, S(R) ] e sul loro ruolo nella formazione del legame chimico covalente fra i due atomi identici
- riformulazione del modello a un solo elettrone per il caso di due atomi diversi (per fissare le idee: HeH++; lo schema serve però soprattutto a una prima comprensione delle molecole biatomiche eteronucleari); semplificazione ulteriore con l'ipotesi di orbitali atomici ortonormali (NB l'integrale di sovrapposizione dei due orbitali atomici < A | B > non è affatto trascurabile; gli orbitali atomici ortonormali | A' > e | B' > vanno semmai pensati come frutto di un'opportuna trasformazione lineare degli orbitali originari non ortonormali | A > e | B >
- autovalori e autofunzioni dello stato fondamentale e del primo stato eccitato della molecola eteronucleare: formule
- limiti notevoli
: atomi uguali (legame covalente), poco diversi (covalente-polare), molto diversi (ionico); il "poco" o "molto" è misurato dal rapporto fra la differenza εB ‐ εA degli elementi diagonali dell'hamiltoniana e 2t, il doppio dell'elemento off-diagonale
molecole con piú di un elettrone, si comincia con due elettroni: molecola H2 neutra
- che cosa succede quando invece di un elettrone ne ho piú di uno? sul testo EFAMS: campo elettrostatico medio come per gli atomi, si riempiono gli stati di singolo elettrone in ordine progressivo di energia rispettando il principio di Pauli
- approfondimento: se nello spazio di Hilbert degli (infiniti) stati a un elettrone continuiamo a restringerci alla stessa base minima di due stati a un elettrone (che per H2+ sono i due stati 1s dell'idrogeno isolato centrati sui nuclei A e B), quanti determinanti di Slater ci si possono costruire? e fra questi, a quale/quali corrisponde l'approssimazione Hartree-Fock?