atomo di elio con il metodo di Hartree, dalla teoria al calcolo: appunti e tre programmini in fortran e in C
Giovanni B. Bachelet, primavera 2016
- teoria Hartree-Fock per lo stato fondamentale dell'elio
(2 pagine)
-
per chi non è troppo familiare con il principio variazionale associato all'equazione di Schödinger: un'occhiata a Landau MQ pagine 82-84
- per chi non è troppo familiare con le derivate funzionali: un'occhiata a vecchi appunti (3 pagine)
- stato fondamentale dell'atomo neutro di elio in approssimazione di campo medio: come si passa
dalla teoria al calcolo numerico? 25 pagine (12 MB) di appunti a mano scaricabili, qui sotto l'indice:
- approssimazione #1: Hartree(-Fock) ..... pagina 1
- approssimazione #2: campo autoconsistente: metodo iterativo, Poisson e Schrödinger ..... pagina 2
- approssimazione #3: soluzione di equazioni differenziali con il metodo degli elementi finiti ..... pagina 5
- Poisson (elettrostatica): equazione differenziale del 2º ordine ..... pagina 6
- considerazioni generali sull'integrazione per elementi finiti in 1D ..... pagina 9
- varie formule utilizzabili (da Abramowitz & Stegun, Handbook of Math. Functions, p.896) ..... pagina 12
- integrali con estremo variabile e integrazione di equazioni differenziali del 2º ordine..... pagina 13
- Schrödinger: equazione differenziale del 2º ordine agli autovalori..... pagina 14
- approssimazione #4 (adottata sia per Poisson che per Schrödinger): usare una griglia logaritmica anziché equispaziata ..... pagina 21
- postilla sull'elio di Hartree autoconsistente (2 pagine, 2 MB)
- codici fortran e C che realizzano quanto sopra illustrato:
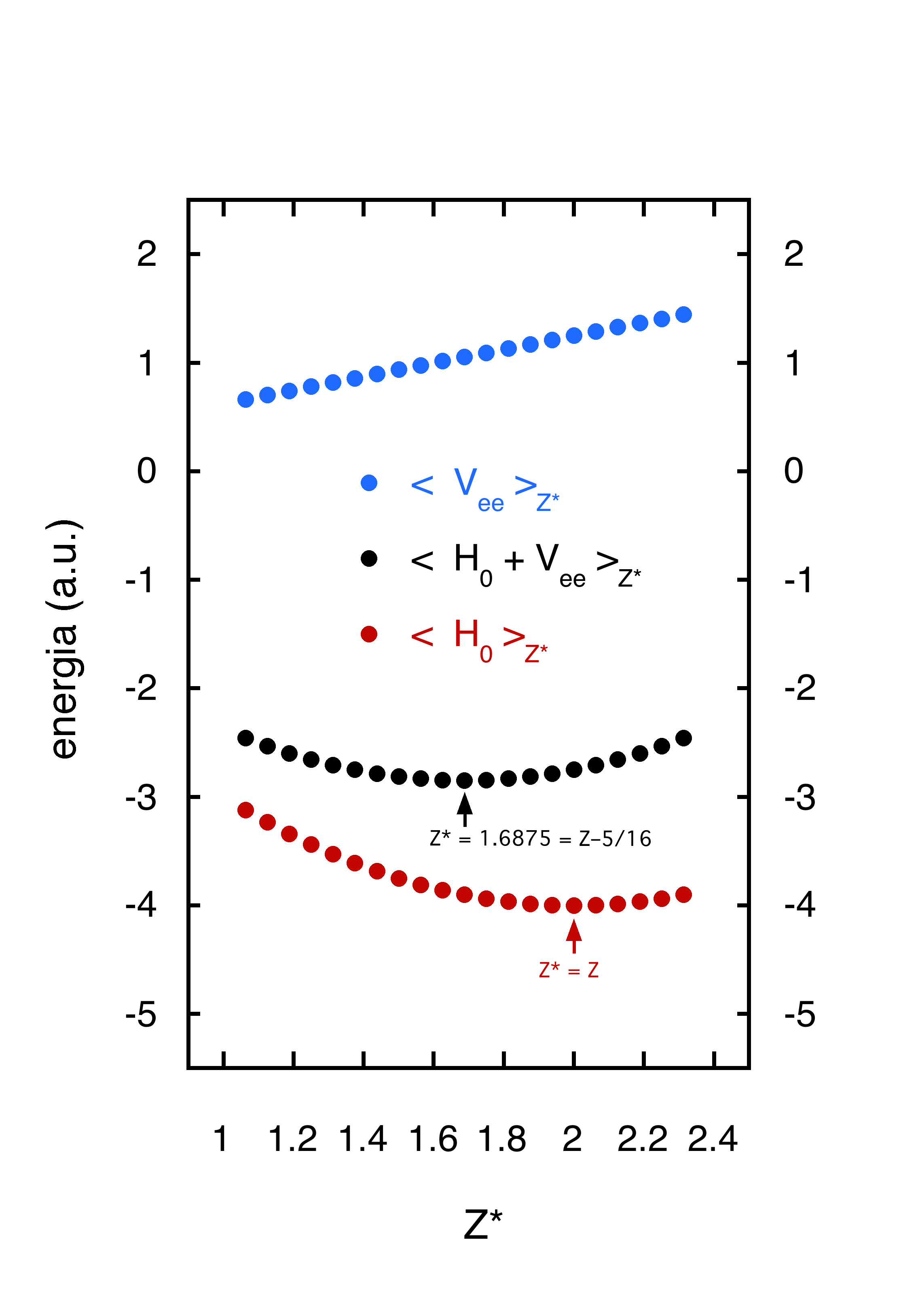
- eliovar.f : questo codice verifica numericamente la stima analitica variazionale-perturbativa basata su una funzione d'onda 1s variazionale a un solo parametro Z* del tipo exp(-Z*r); quel che fa il codice è spiegato qui e sono disponibili i benchmark per funzioni radiali, energie; i risultati sono visualizzabili anche in questo grafico dell'energia media in funzione di Z* e in questo grafico delle corrispondenti funzione d'onda radiali (negli altri due pannelli del secondo grafico sono mostrati la densità di carica radiale integrata fra zero e il raggio r e il potenziale elettrostatico) per diversi Z* compresi fra 1 e 2.5; le istruzioni per fare simili grafici con gnuplot a partire dagli output del programma si trovano qui
- elioscf.f (benchmark funzioni, energie) : funzione d'onda 1s e energia totale dello stato fondamentale dell'elio neutro in approssimazione di Hartree autoconsistente
- scarica tutti e tre insieme i codici in linguaggio fortran (con relativi benchmark) in un'unica cartellina zippata
- scarica gli stessi tre programmi in linguaggio C (con relativi benchmark) tutti insieme in un'altra cartellina zippata