elio di Hartree: appunti e tre programmini fortran
- appunti sullo stato fondamentale dell'atomo neutro di elio in approssimazione di Hartree (25 pagine, 12 MB)
- approssimazione #1: Hartree(-Fock) ..... pagina 1
- approssimazione #2: campo autoconsistente: metodo iterativo, Poisson e Schrödinger ..... pagina 2
- approssimazione #3: soluzione di equazioni differenziali con il metodo degli elementi finiti ..... pagina 5
- Poisson (elettrostatica): equazione differenziale del 2º ordine ..... pagina 6
- considerazioni generali sull'integrazione per elementi finiti in 1D ..... pagina 9
- varie formule utilizzabili (da Abramowitz & Stegun, Handbook of Math. Functions, p.896) ..... pagina 12
- integrali con estremo variabile e integrazione di equazioni differenziali del 2º ordine..... pagina 13
- Schrödinger: equazione differenziale del 2º ordine agli autovalori..... pagina 14
- approssimazione #3B: metodo iterativo per la ricerca dell'autovalore (vedere anche background)..... pagina 15
- approssimazione #4 (adottata sia per Poisson che per Schrödinger): usare una griglia logaritmica anziché equispaziata ..... pagina 21
- postilla sull'elio di Hartree autoconsistente (2 pagine, 2 MB)
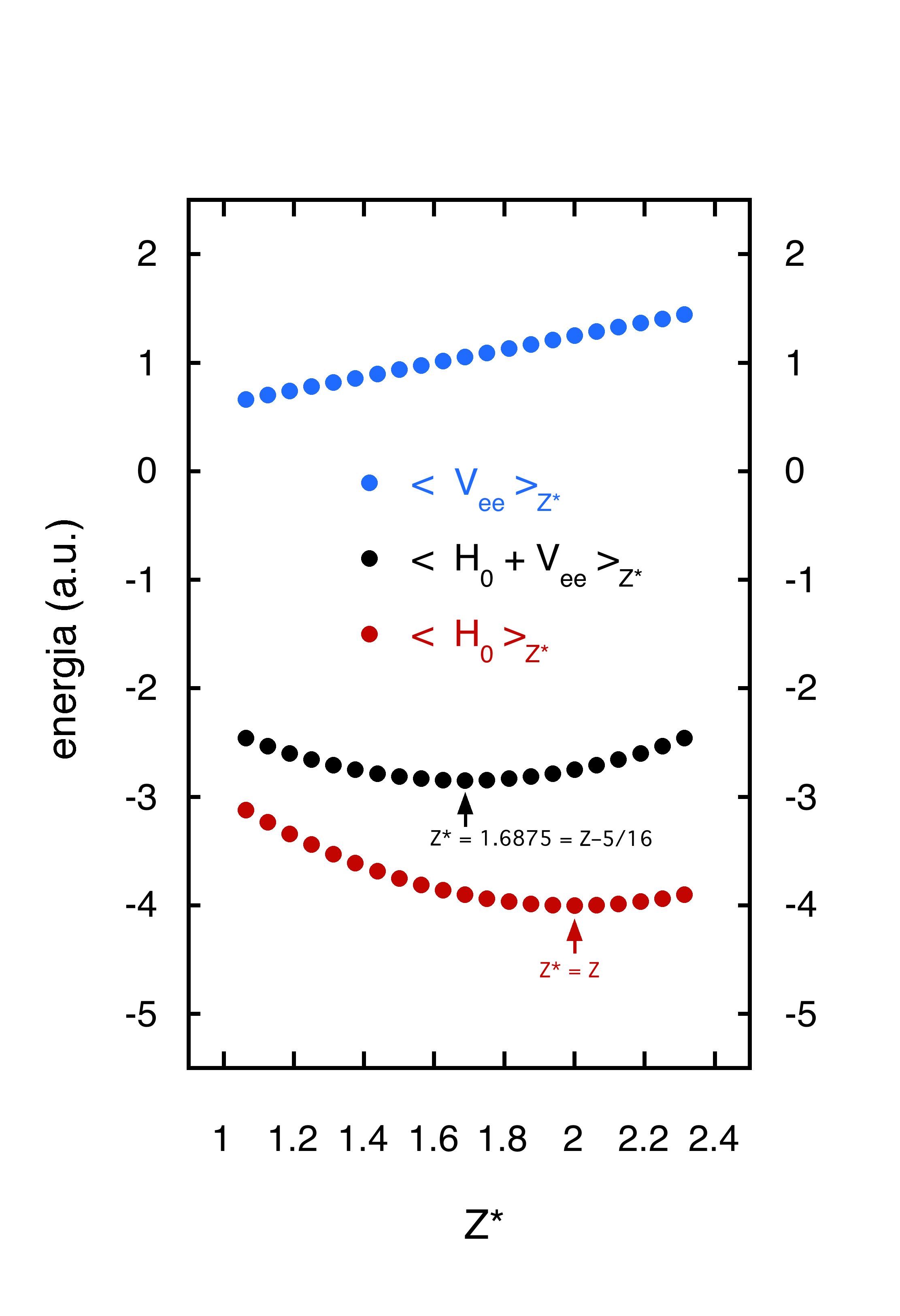
- eliovar.f : questo codice verifica numericamente la stima analitica variazionale-perturbativa basata su una funzione d'onda 1s variazionale a un solo parametro Z* discussa in una delle prime lezioni; quel che fa il codice è spiegato qui e i risultati sono visualizzabili in questo grafico dell'energia media in funzione di Z* e in questo grafico della funzione d'onda radiale (negli altri due pannelli la carica e il potenziale elettrostatico corrispondenti) per diversi Z* compresi fra 1 e 2.5; le istruzioni per fare simili plot con gnuplot a partire dagli output del programma (qui il benchmark per funzioni radiali, energie) si trovano qui
- elioscf.f (benchmark funzioni, energie) : funzione d'onda 1s e energia totale dello stato fondamentale dell'elio neutro in approssimazione di Hartree autoconsistente